Μάθημα : Μηχανολογικό Σχέδιο - CAD I
Κωδικός : MECH110
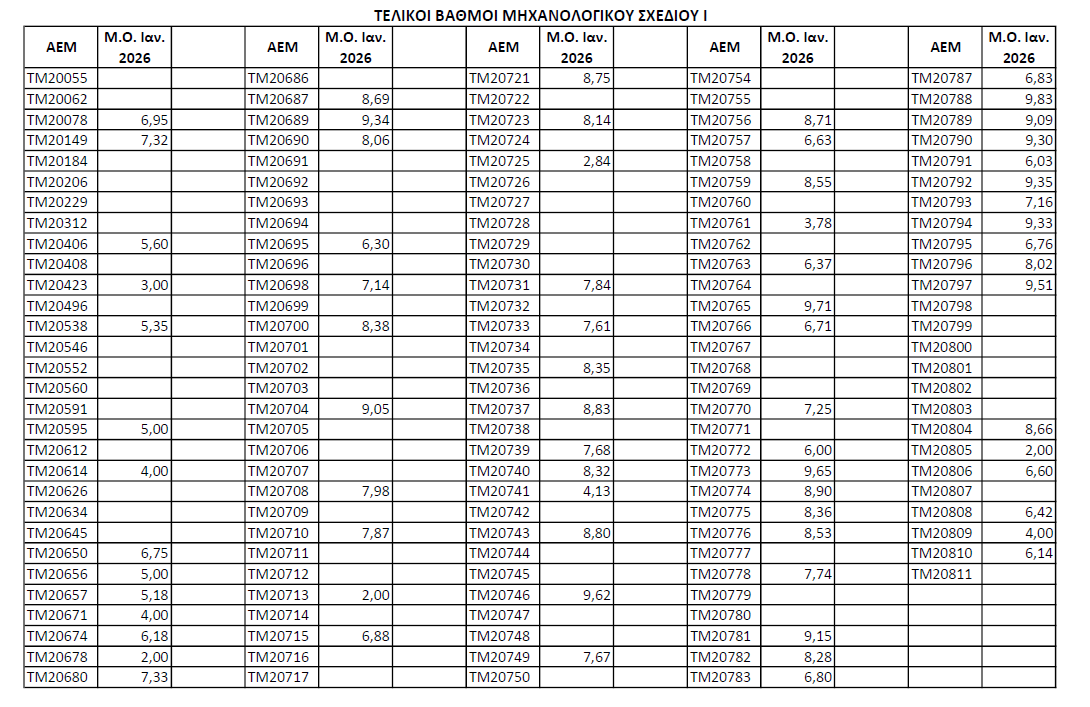
Τελικοί βαθμοί Σχεδίου Ι
Παρακάτω και στα Έγγραφα του eclass έχουν αναρτηθεί οι τελικοί βαθμοί του Μηχανολογικού Σχεδίου Ι. Οι φοιτήτριες / φοιτητές που επιθυμούν να δουν το γραπτό τους μπορούν να προσέρχονται αύριο Πέμπτη 12 Φεβρουαρίου, 10:00-12:30 , στο γραφείο μου στο Εργαστήριο Αιολικής Ενέργειας.

Κώστας Κονταξάκης